Решебник №1
упражнение / 249


Решебник №2
упражнение / 249

Решебник №3
упражнение / 249

Решебник №4
упражнение / 249

Решебник №5
упражнение / 249

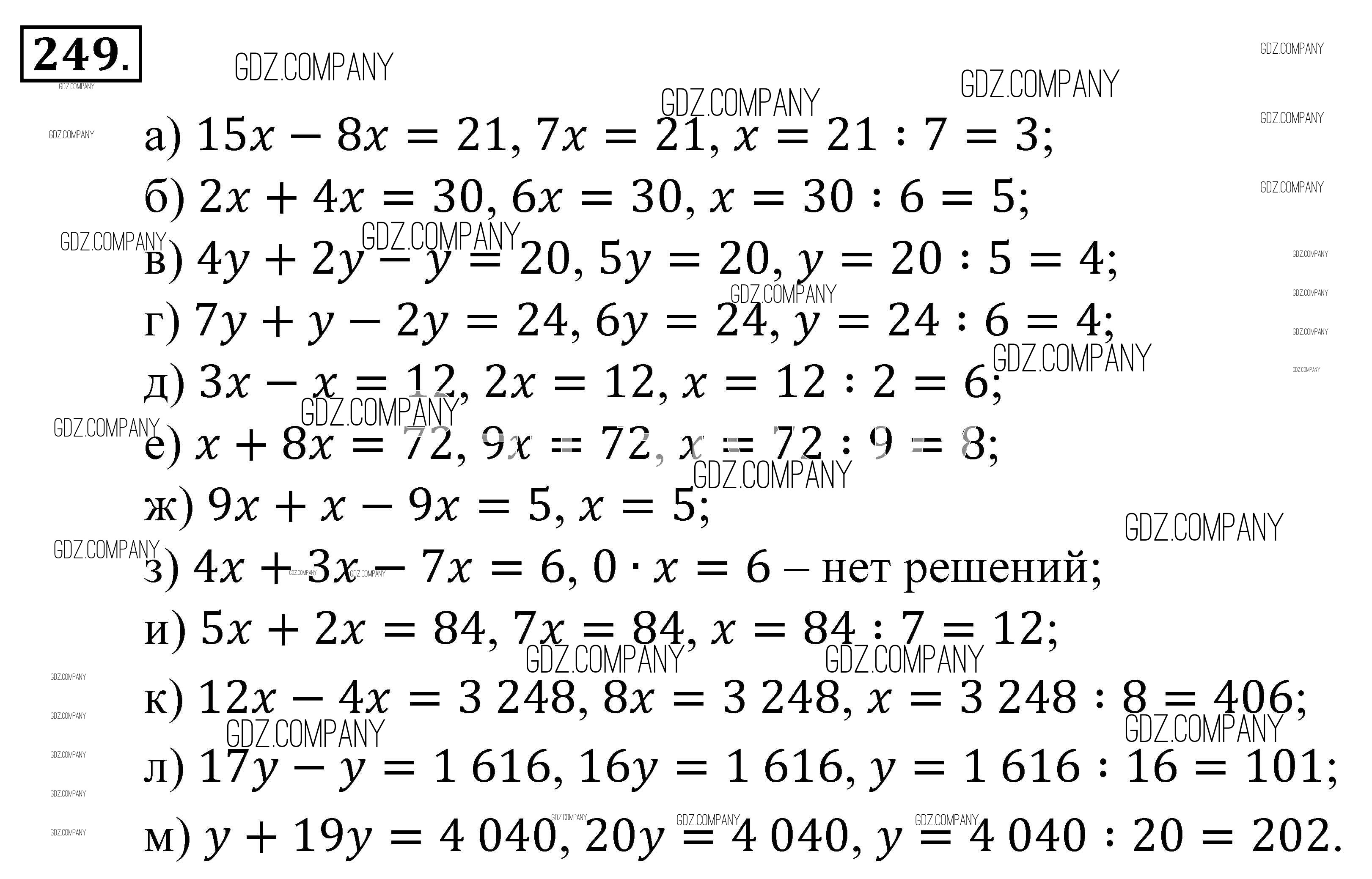
Здесь готовые ответы по Математике за 5 (пятый) класс от Зубарева, Мордкович Учебник (издательство: Мнемозина от 2015 г.) № 249