Решебник №2
глава 2 / 1664

Решебник №4
глава 2 / 1664

Решебник №6
глава 2 / 1664

Решебник №7
глава 2 / 1664







Решебник №8
глава 2 / 1664

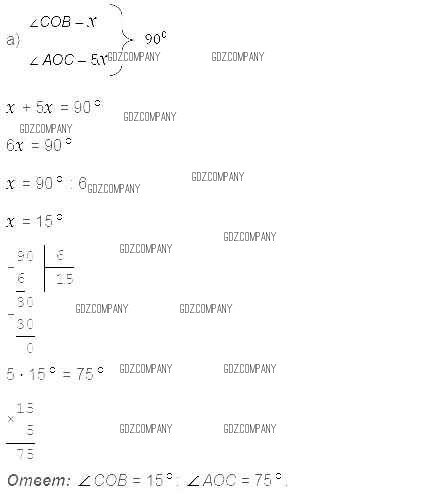
Здесь готовые ответы по Математике за 5 (пятый) класс от Виленкин, Жохов, Чесноков, Шварцбурд Учебник (издательство: Мнемозина от 2013 г.) № 1664