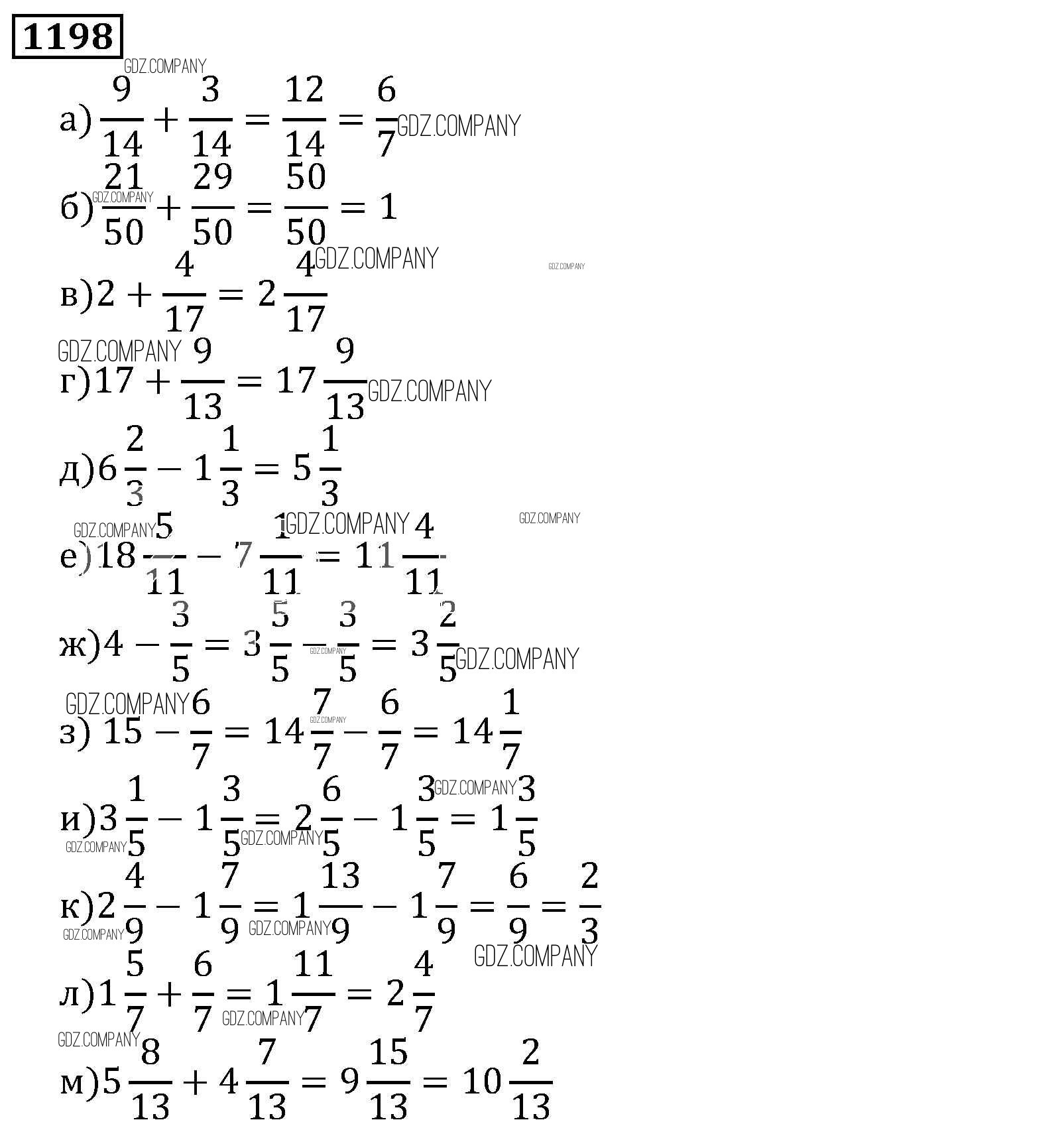
Решебник №1
глава 2 / 1198


Решебник №2
глава 2 / 1198

Решебник №4
глава 2 / 1198

Решебник №6
глава 2 / 1198

Решебник №7
глава 2 / 1198




Решебник №8
глава 2 / 1198

Здесь готовые ответы по Математике за 5 (пятый) класс от Виленкин, Жохов, Чесноков, Шварцбурд Учебник (издательство: Мнемозина от 2013 г.) № 1198