Решебник №1
глава 2 / 1063


Решебник №2
глава 2 / 1063

Решебник №3
глава 2 / 1063

Решебник №4
глава 2 / 1063

Решебник №6
глава 2 / 1063

Решебник №7
глава 2 / 1063

Решебник №8
глава 2 / 1063

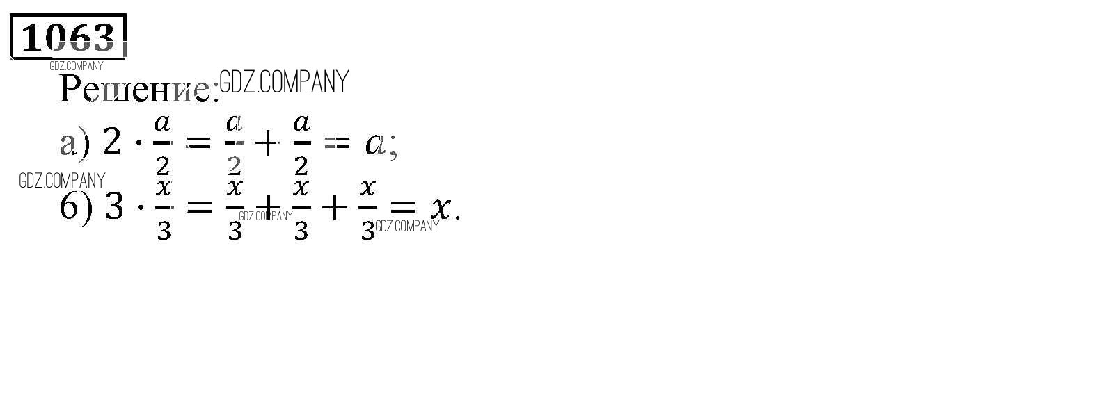
Здесь готовые ответы по Математике за 5 (пятый) класс от Виленкин, Жохов, Чесноков, Шварцбурд Учебник (издательство: Мнемозина от 2013 г.) № 1063