Решебник №1
глава 1 / 718


Решебник №2
глава 1 / 718

Решебник №3
глава 1 / 718

Решебник №4
глава 1 / 718

Решебник №6
глава 1 / 718

Решебник №7
глава 1 / 718


Решебник №8
глава 1 / 718

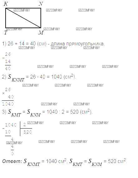
Здесь готовые ответы по Математике за 5 (пятый) класс от Виленкин, Жохов, Чесноков, Шварцбурд Учебник (издательство: Мнемозина от 2013 г.) № 718