Решебник №2
глава 1 / 340

Решебник №3
глава 1 / 340

Решебник №4
глава 1 / 340

Решебник №5
глава 1 / 340


Решебник №6
глава 1 / 340

Решебник №7
глава 1 / 340








Решебник №8
глава 1 / 340

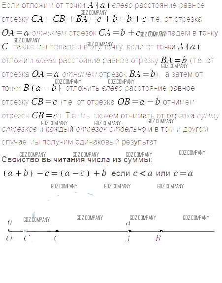
Здесь готовые ответы по Математике за 5 (пятый) класс от Виленкин, Жохов, Чесноков, Шварцбурд Учебник (издательство: Мнемозина от 2013 г.) № 340