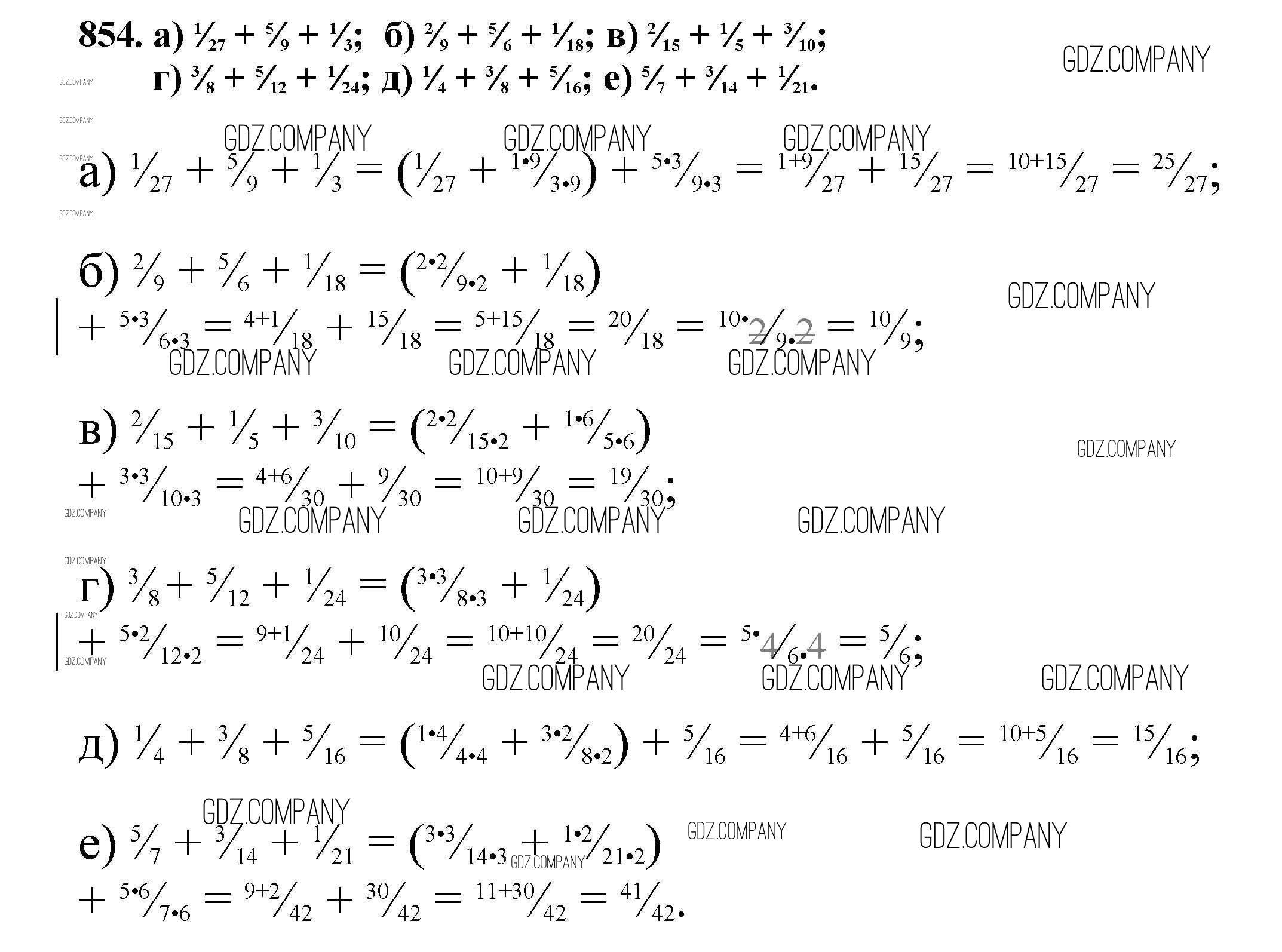
Решебник 1
упражнение / 854

Решебник 2
упражнение / 854

Решебник 3
упражнение / 854

Решебник 4
упражнение / 854

Решебник 5 (2012)
упражнение / 854

Здесь готовые ответы по Математике за 5 (пятый) класс от Никольский, Потапов, Решетников, Шевкин Учебник МГУ - школе (издательство: Просвещение от 2016 г.) № 854