Решебник 1
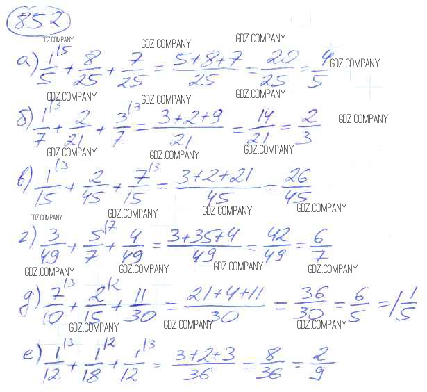
упражнение / 852


Решебник 2
упражнение / 852


Решебник 3
упражнение / 852

Решебник 4
упражнение / 852

Решебник 5 (2012)
упражнение / 852

Здесь готовые ответы по Математике за 5 (пятый) класс от Никольский, Потапов, Решетников, Шевкин Учебник МГУ - школе (издательство: Просвещение от 2016 г.) № 852