Решебник 1
упражнение / 480


Решебник 2
упражнение / 480

Решебник 3
упражнение / 480

Решебник 4
упражнение / 480

Решебник 5 (2012)
упражнение / 480

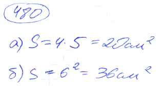
Здесь готовые ответы по Математике за 5 (пятый) класс от Никольский, Потапов, Решетников, Шевкин Учебник МГУ - школе (издательство: Просвещение от 2016 г.) № 480