Решебник 1
упражнение / 248

Решебник 2
упражнение / 248

Решебник 3
упражнение / 248

Решебник 4
упражнение / 248

Решебник 5 (2012)
упражнение / 248

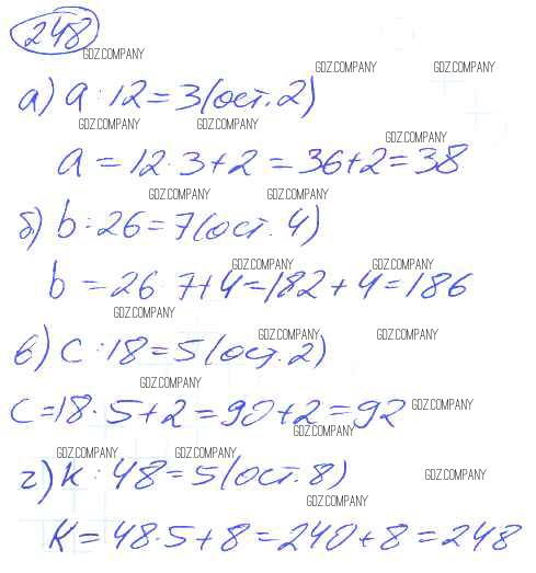
Здесь готовые ответы по Математике за 5 (пятый) класс от Никольский, Потапов, Решетников, Шевкин Учебник МГУ - школе (издательство: Просвещение от 2016 г.) № 248