Решебник 1
упражнение / 187


Решебник 2
упражнение / 187


Решебник 3
упражнение / 187

Решебник 4
упражнение / 187

Решебник 5 (2012)
упражнение / 187

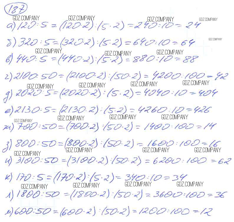
Здесь готовые ответы по Математике за 5 (пятый) класс от Никольский, Потапов, Решетников, Шевкин Учебник МГУ - школе (издательство: Просвещение от 2016 г.) № 187