Решебник 1
упражнение / 1053


Решебник 3
упражнение / 1053

Решебник 4
упражнение / 1053

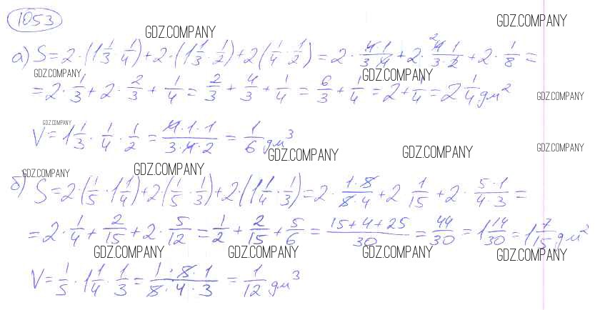
Здесь готовые ответы по Математике за 5 (пятый) класс от Никольский, Потапов, Решетников, Шевкин Учебник МГУ - школе (издательство: Просвещение от 2016 г.) № 1053