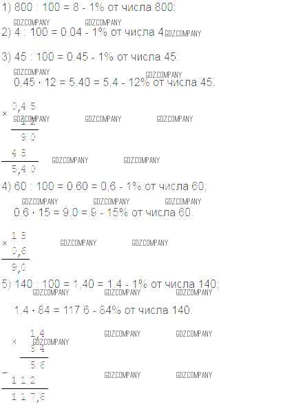
Решебник №1
глава 5 / §37 / 1056

Решебник №2
глава 5 / §37 / 1056

Решебник №3
глава 5 / §37 / 1056

Решебник №4
глава 5 / §37 / 1056

Решебник №5
глава 5 / §37 / 1056

Решебник №7
глава 5 / §37 / 1056



Здесь готовые ответы по Математике за 5 (пятый) класс от Мерзляк, Полонский, Якир Учебник Алгоритм успеха (издательство: Вентана-граф от 2016 г.) № 1056