Решебник №1
глава 5 / §34 / 958

Решебник №2
глава 5 / §34 / 958

Решебник №3
глава 5 / §34 / 958


Решебник №4
глава 5 / §34 / 958

Решебник №5
глава 5 / §34 / 958

Решебник №7
глава 5 / §34 / 958




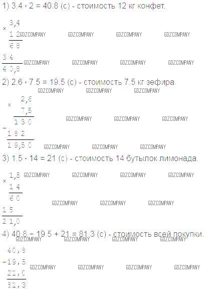
Здесь готовые ответы по Математике за 5 (пятый) класс от Мерзляк, Полонский, Якир Учебник Алгоритм успеха (издательство: Вентана-граф от 2016 г.) № 958