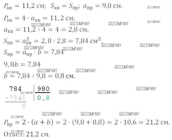
Решебник №1
повторение / 1197

Решебник №2
повторение / 1197

Решебник №3
повторение / 1197

Решебник №4
повторение / 1197

Решебник №7
повторение / 1197





Здесь готовые ответы по Математике за 5 (пятый) класс от Мерзляк, Полонский, Якир Учебник Алгоритм успеха (издательство: Вентана-граф от 2016 г.) № 1197