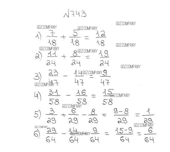
Решебник №1
глава 4 / §27 / 743

Решебник №2
глава 4 / §27 / 743

Решебник №3
глава 4 / §27 / 743


Решебник №4
глава 4 / §27 / 743

Решебник №5
глава 4 / §27 / 743

Решебник №7
глава 4 / §27 / 743


Здесь готовые ответы по Математике за 5 (пятый) класс от Мерзляк, Полонский, Якир Учебник Алгоритм успеха (издательство: Вентана-граф от 2016 г.) № 743