Решебник №1
глава 4 / §26 / 740

Решебник №2
глава 4 / §26 / 740

Решебник №3
глава 4 / §26 / 740


Решебник №4
глава 4 / §26 / 740

Решебник №5
глава 4 / §26 / 740

Решебник №7
глава 4 / §26 / 740



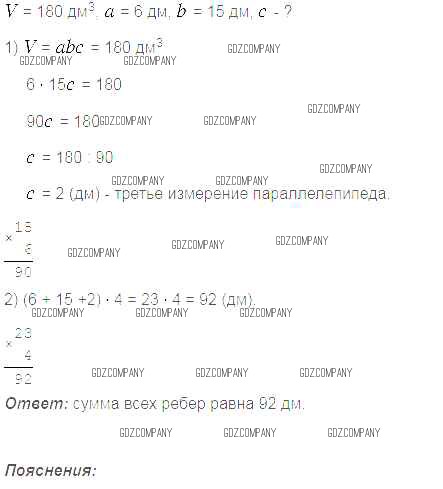
Здесь готовые ответы по Математике за 5 (пятый) класс от Мерзляк, Полонский, Якир Учебник Алгоритм успеха (издательство: Вентана-граф от 2016 г.) № 740