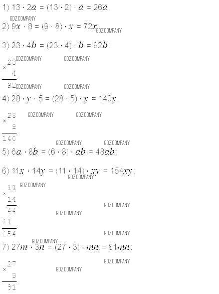
Решебник №1
глава 3 / §17 / 422

Решебник №2
глава 3 / §17 / 422

Решебник №3
глава 3 / §17 / 422


Решебник №4
глава 3 / §17 / 422

Решебник №5
глава 3 / §17 / 422

Решебник №6
глава 3 / §17 / 422

Решебник №7
глава 3 / §17 / 422


Здесь готовые ответы по Математике за 5 (пятый) класс от Мерзляк, Полонский, Якир Учебник Алгоритм успеха (издательство: Вентана-граф от 2016 г.) № 422