Решебник №1
глава 2 / §14 / 346

Решебник №2
глава 2 / §14 / 346

Решебник №3
глава 2 / §14 / 346

Решебник №4
глава 2 / §14 / 346

Решебник №5
глава 2 / §14 / 346

Решебник №6
глава 2 / §14 / 346

Решебник №7
глава 2 / §14 / 346

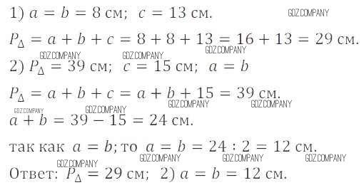
Здесь готовые ответы по Математике за 5 (пятый) класс от Мерзляк, Полонский, Якир Учебник Алгоритм успеха (издательство: Вентана-граф от 2016 г.) № 346