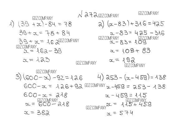
Решебник №1
глава 2 / §10 / 272

Решебник №2
глава 2 / §10 / 272

Решебник №3
глава 2 / §10 / 272

Решебник №4
глава 2 / §10 / 272

Решебник №5
глава 2 / §10 / 272


Решебник №6
глава 2 / §10 / 272

Решебник №7
глава 2 / §10 / 272





Здесь готовые ответы по Математике за 5 (пятый) класс от Мерзляк, Полонский, Якир Учебник Алгоритм успеха (издательство: Вентана-граф от 2016 г.) № 272