Решебник №1 к учебнику 2020
часть 1. страница / 22



Решебник №2
часть 1. страница / 22



Решебник №3
часть 1. страница / 22

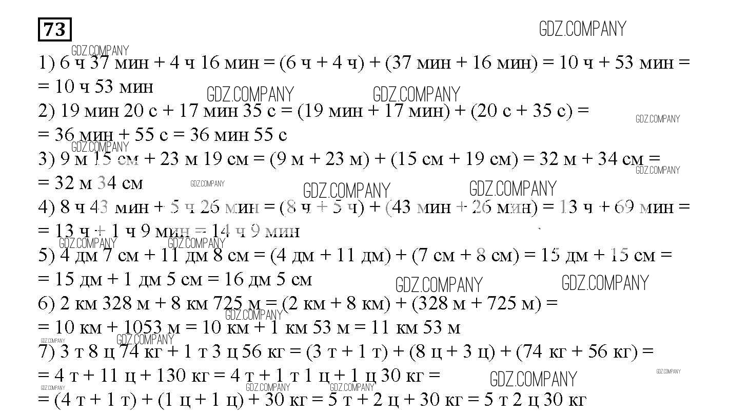
Здесь готовые ответы по Математике за 5 (пятый) класс от Мерзляк, Полонский, Якир Рабочая тетрадь Алгоритм успеха (издательство: Вентана-граф от 2016 г.) № 22