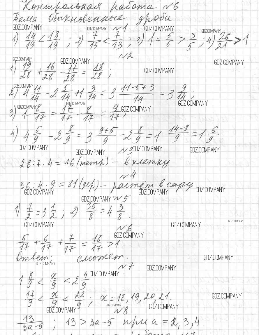
Решебник №1
контрольная работа / кр №6 / вариант 1

Решебник №2
контрольная работа / кр №6 / вариант 1

Решебник №3
контрольная работа / кр №6 / вариант 1

Решебник №4
контрольная работа / кр №6 / вариант 1

Решебник №5
контрольная работа / кр №6 / вариант 1

Здесь готовые ответы по Математике за 5 (пятый) класс от Мерзляк, Полонский, Якир, Рябинович Дидактические материалы Алгоритм успеха (издательство: Вентана-граф от 2017 г.) № вариант 1