Решебник №1
упражнение / вариант 1 / 143

Решебник №2
упражнение / вариант 1 / 143

Решебник №3
упражнение / вариант 1 / 143

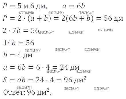
Здесь готовые ответы по Математике за 5 (пятый) класс от Мерзляк, Полонский, Якир, Рябинович Дидактические материалы Алгоритм успеха (издательство: Вентана-граф от 2017 г.) № 143