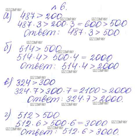
Решебник
обучающая работа / о-14 / 6

Здесь готовые ответы по Математике за 5 (пятый) класс от Кузнецова, Минаева, Рослова, Суворова Дидактические материалы Академический школьный учебник (издательство: Просвещение от 2014 г.) № 6