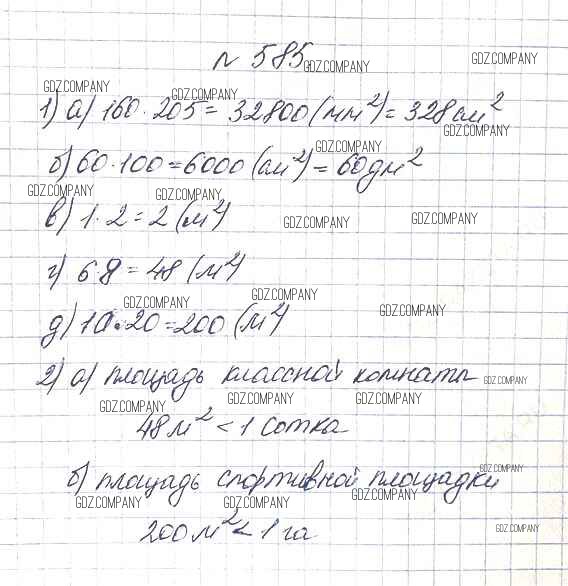
Решебник №1
глава 7 / 7.4 / 585

Решебник №2
глава 7 / 7.4 / 585

Решебник №3
глава 7 / 7.4 / 585

Решебник №4
глава 7 / 7.4 / 585

Здесь готовые ответы по Математике за 5 (пятый) класс от Дорофеев, Шарыгин, Суворова, Бунимович, Кузнецова, Минаева, Рослова Учебник (издательство: Просвещение от 2015 г.) № 585