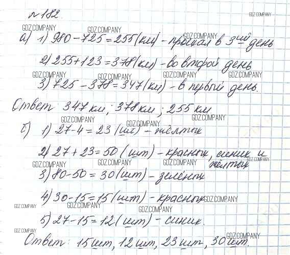
Решебник №1
глава 3 / 3.1 / 182

Решебник №2
глава 3 / 3.1 / 182

Решебник №3
глава 3 / 3.1 / 182

Решебник №4
глава 3 / 3.1 / 182

Здесь готовые ответы по Математике за 5 (пятый) класс от Дорофеев, Шарыгин, Суворова, Бунимович, Кузнецова, Минаева, Рослова Учебник (издательство: Просвещение от 2015 г.) № 182