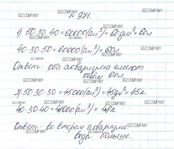
Решебник №1
глава 10 / 10.3 / 971

Решебник №2
глава 10 / 10.3 / 971

Решебник №3
глава 10 / 10.3 / 971

Решебник №4
глава 10 / 10.3 / 971

Здесь готовые ответы по Математике за 5 (пятый) класс от Дорофеев, Шарыгин, Суворова, Бунимович, Кузнецова, Минаева, Рослова Учебник (издательство: Просвещение от 2015 г.) № 971