Решебник №1
глава 1 / 1.3 / 45

Решебник №2
глава 1 / 1.3 / 45

Решебник №3
глава 1 / 1.3 / 45

Решебник №4
глава 1 / 1.3 / 45

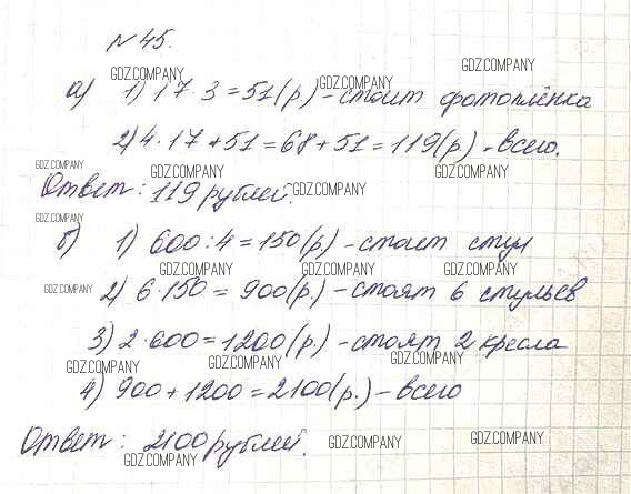
Здесь готовые ответы по Математике за 5 (пятый) класс от Дорофеев, Шарыгин, Суворова, Бунимович, Кузнецова, Минаева, Рослова Учебник (издательство: Просвещение от 2015 г.) № 45