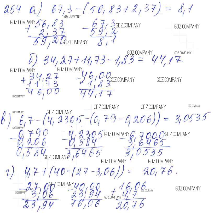
Решебник №1
самостоятельная работа / вариант 3 / 254

Решебник №2
самостоятельная работа / вариант 3 / 254

Здесь готовые ответы по Математике за 5 (пятый) класс от Чесноков, Нешков Дидактические материалы (издательство: Академкнига от 2014 г.) № 254