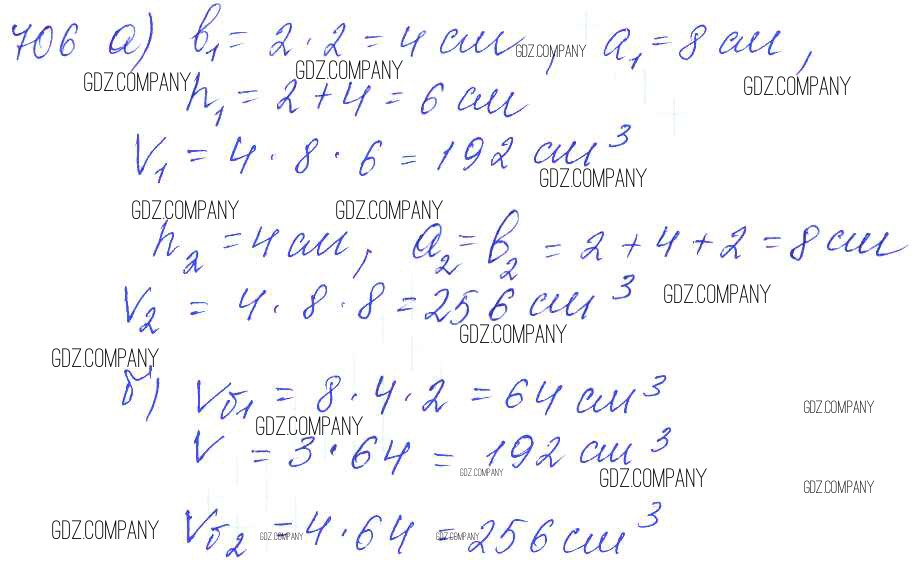
Решебник 1
упражнение / 706

Решебник 2
упражнение / 706

Решебник 3
упражнение / 706

Здесь готовые ответы по Математике за 5 (пятый) класс от Бунимович, Дорофеев, Суворова Учебник Академический школьный учебник (издательство: Просвещение от 2014 г.) № 706