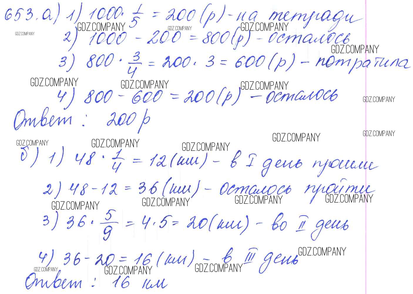
Решебник 1
упражнение / 653

Решебник 2
упражнение / 653


Решебник 3
упражнение / 653

Здесь готовые ответы по Математике за 5 (пятый) класс от Бунимович, Дорофеев, Суворова Учебник Академический школьный учебник (издательство: Просвещение от 2014 г.) № 653