Решебник 1
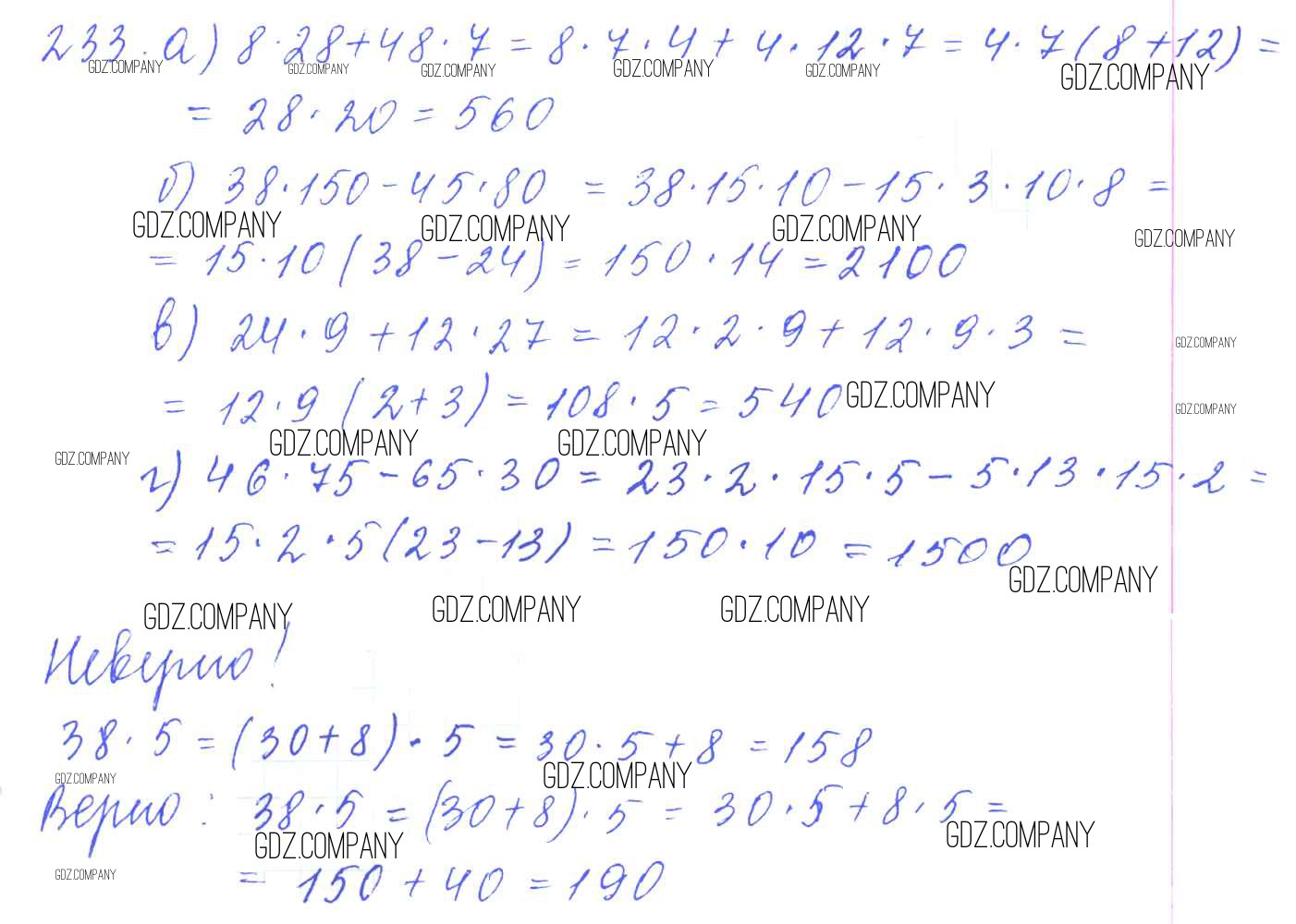
упражнение / 233

Решебник 2
упражнение / 233


Решебник 3
упражнение / 233

Здесь готовые ответы по Математике за 5 (пятый) класс от Бунимович, Дорофеев, Суворова Учебник Академический школьный учебник (издательство: Просвещение от 2014 г.) № 233