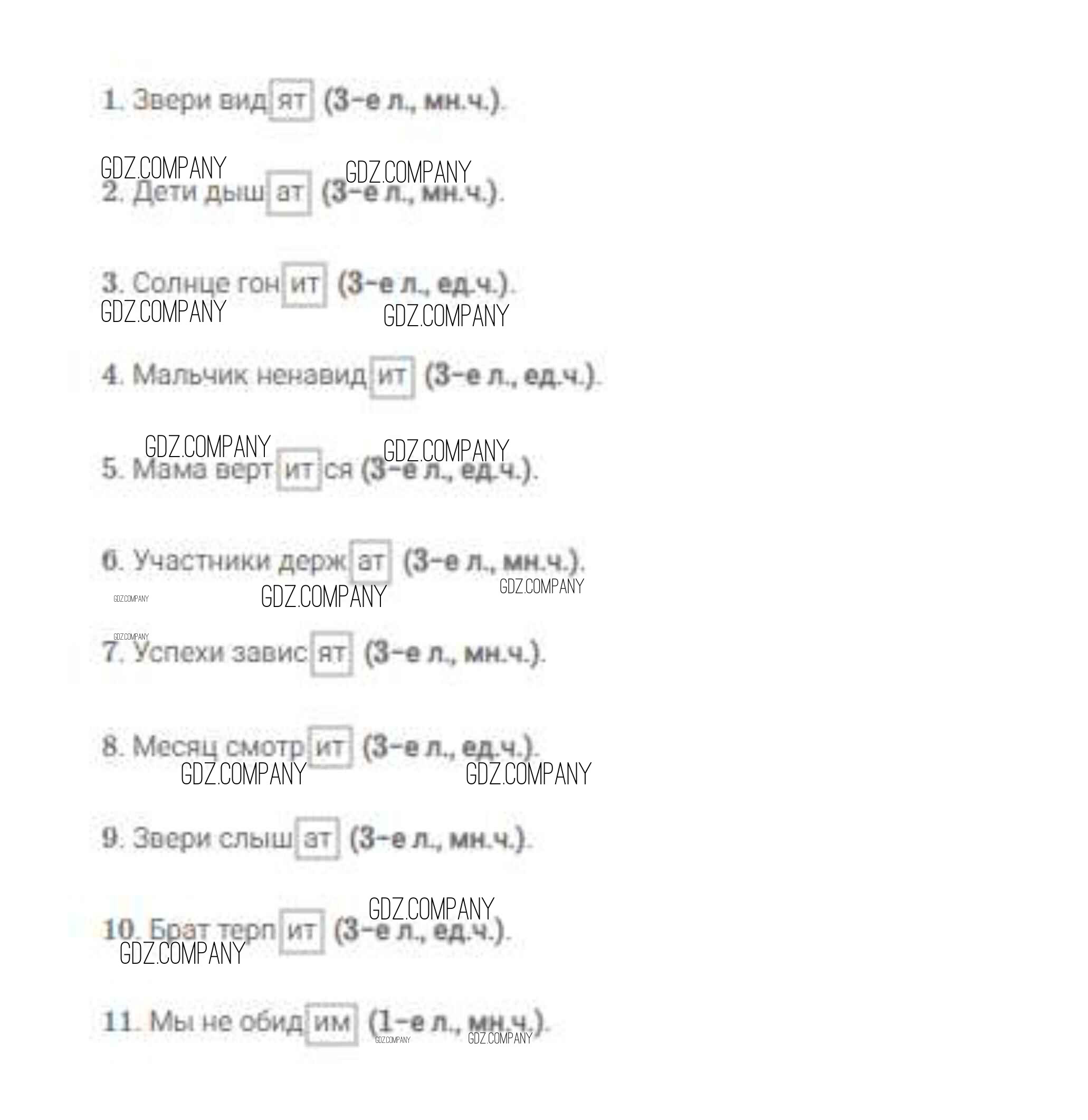
Решебник №1
часть 2 / 169

Решебник №2
часть 2 / 169


Решебник №3
часть 2 / 169

Решебник №4
часть 2 / 169

Здесь готовые ответы по Русскому языку за 4 (четвертый) класс от Климанова, Бабушкина Учебник Перспектива (издательство: Просвещение от 2014 г.) № 169