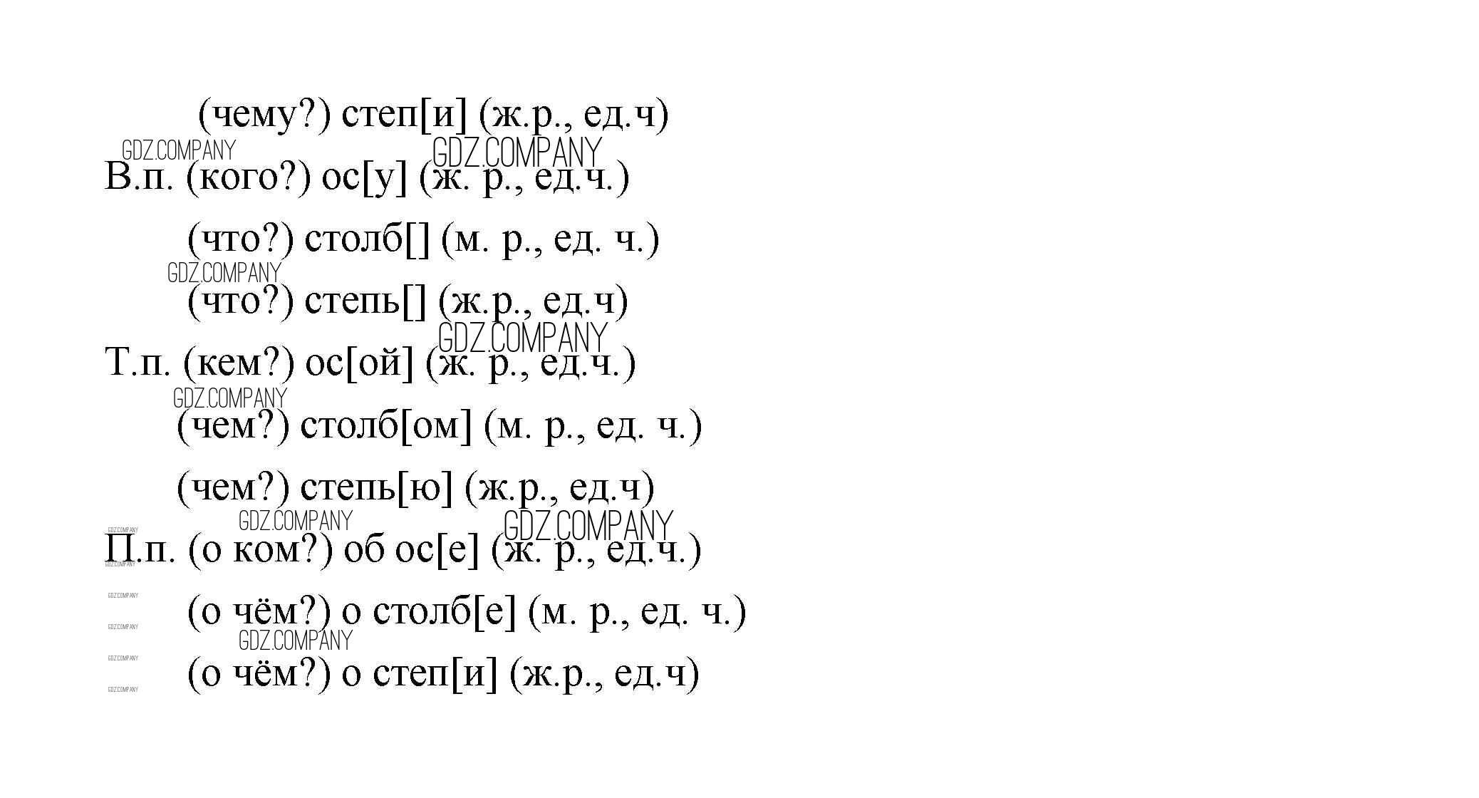
Решебник №1
часть 2 / 10


Решебник №2
часть 2 / 10


Решебник №3
часть 2 / 10

Решебник №4
часть 2 / 10

Здесь готовые ответы по Русскому языку за 4 (четвертый) класс от Климанова, Бабушкина Учебник Перспектива (издательство: Просвещение от 2014 г.) № 10