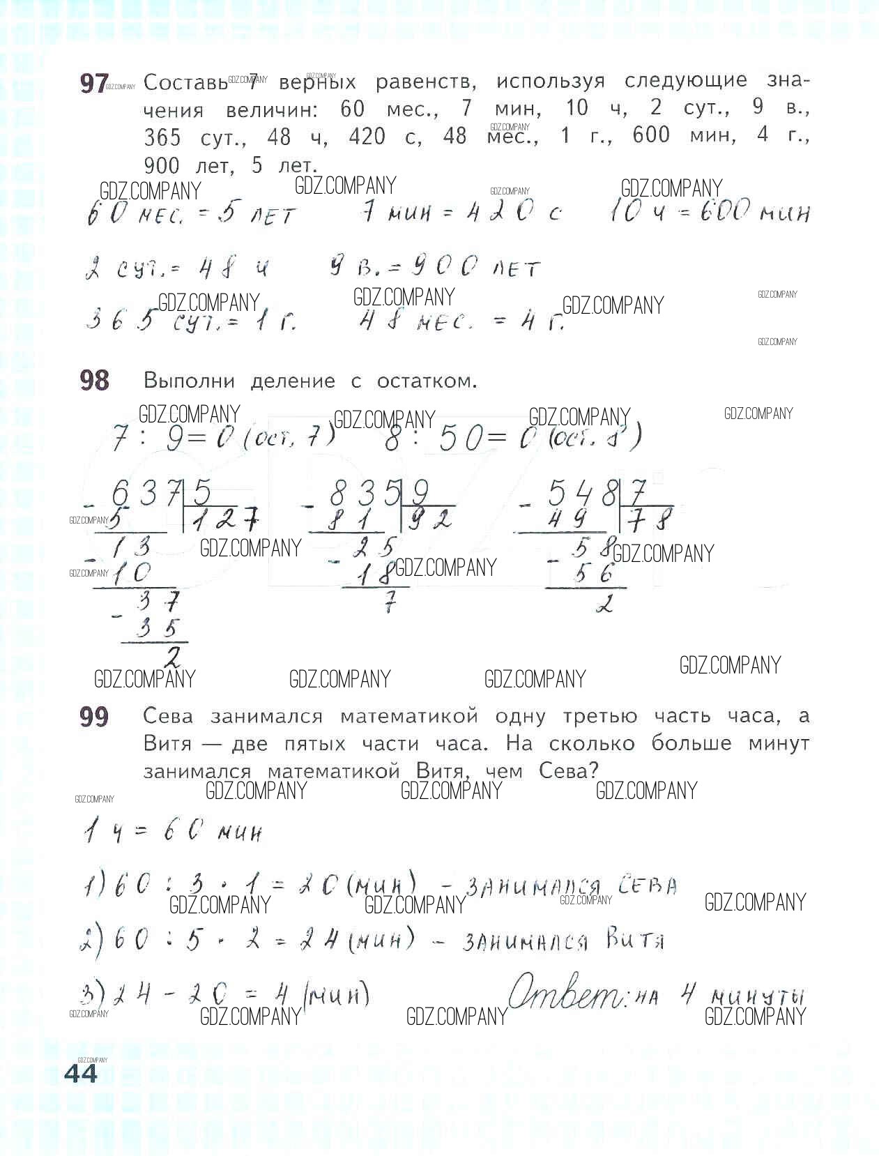
Решебник №1
часть 1 / 44

Решебник №2
часть 1 / 44

Решебник №3
часть 1 / 44

Решебник №4
часть 1 / 44

Решебник №5
часть 1 / 44



Решебник №6
часть 1 / 44




Решебник №7
часть 1 / 44

Здесь готовые ответы по Математике за 4 (четвертый) класс от Волкова Рабочая тетрадь Школа России (издательство: Просвещение от 2016 г.) № 44