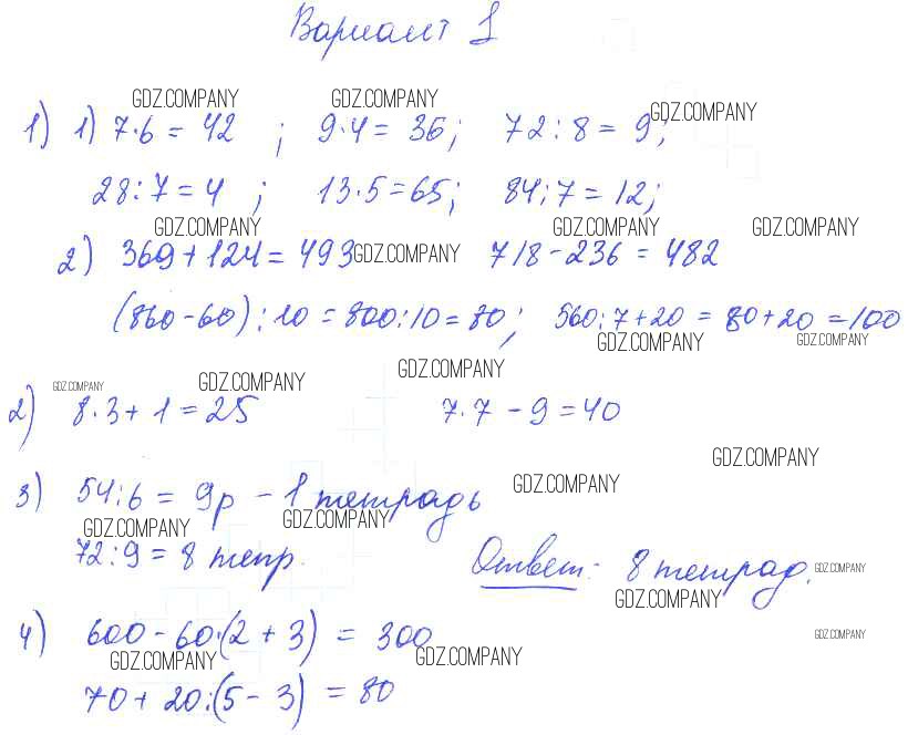
Решебник
3 класс / тема «Числа от 1 до 1000. Нумерация. Сложение и вычитание. Приемы устных и письменных вычислений» стр. 48 / Вариант 1

Здесь готовые ответы по Математике за 4 (второй) класс от Волкова Контрольные работы Школа России (издательство: Просвещение от 2017 г.) № Вариант 1