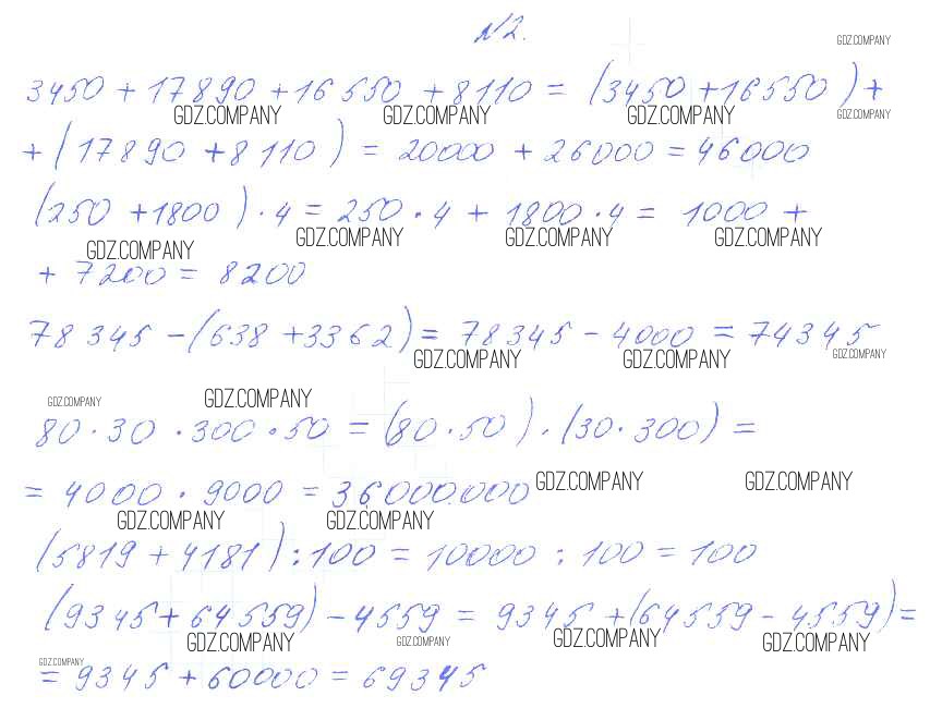
Решебник 1
часть 2 / математический тренажёр (стр. 118) / 2

Решебник 2
часть 2 / математический тренажёр (стр. 118) / 2

Здесь готовые ответы по Математике за 4 (четвертый) класс от Башмаков, Нефедова Учебник Планета знаний (издательство: Аст/Астрель от 2012 г.) № 2