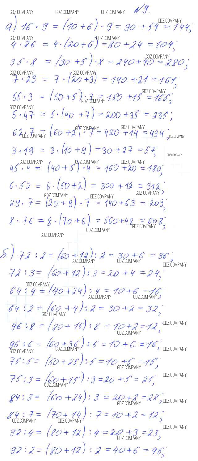
Решебник 1
часть 1 / математический тренажер (стр. 22) / 9

Решебник 2
часть 1 / математический тренажер (стр. 22) / 9

Здесь готовые ответы по Математике за 4 (четвертый) класс от Башмаков, Нефедова Учебник Планета знаний (издательство: Аст/Астрель от 2012 г.) № 9