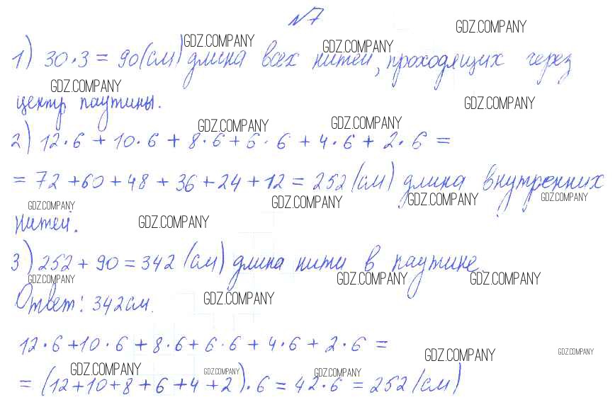
Решебник 1
часть 1 / геометрические задачи / 7

Решебник 2
часть 1 / геометрические задачи / 7

Здесь готовые ответы по Математике за 4 (четвертый) класс от Башмаков, Нефедова Учебник Планета знаний (издательство: Аст/Астрель от 2012 г.) № 7