Решебник №1
часть 2 / что узнали чему научились / страницы 67 / 6

Решебник №2
часть 2 / что узнали чему научились / страницы 67 / 6


Решебник №3
часть 2 / что узнали чему научились / страницы 67 / 6

Решебник №4
часть 2 / что узнали чему научились / страницы 67 / 6

Решебник №5
часть 2 / что узнали чему научились / страницы 67 / 6


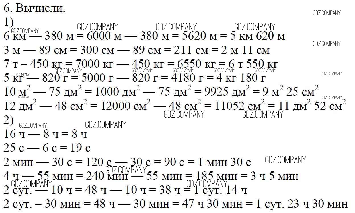
Здесь готовые ответы по Математике за 4 (четвертый) класс от Моро, Бантова, Бельтюкова, Волкова, Степанова Учебник Школа России (издательство: Просвещение от 2015 г.) № 6