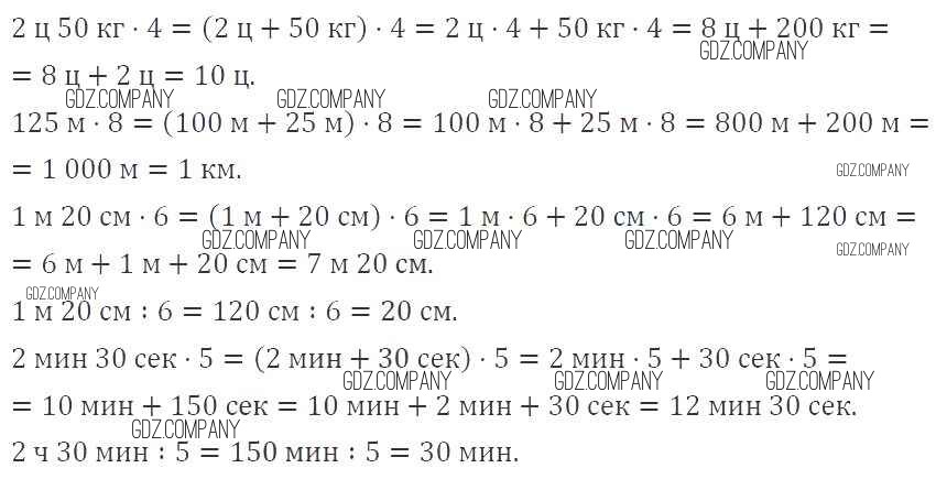
Решебник №1
часть 2 / упражнение / 259

Решебник №2
часть 2 / упражнение / 259


Решебник №3
часть 2 / упражнение / 259

Решебник №4
часть 2 / упражнение / 259

Решебник №5
часть 2 / упражнение / 259


Здесь готовые ответы по Математике за 4 (четвертый) класс от Моро, Бантова, Бельтюкова, Волкова, Степанова Учебник Школа России (издательство: Просвещение от 2015 г.) № 259