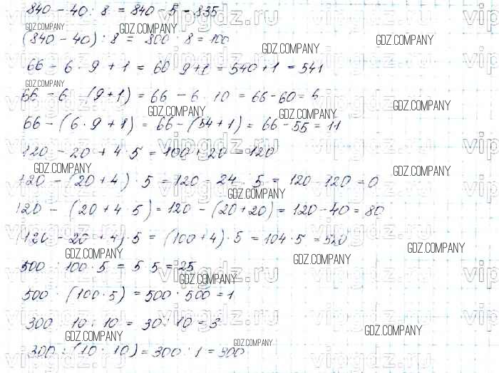
Решебник №1
часть 1 / упражнение / 121

Решебник №2
часть 1 / упражнение / 121


Решебник №3
часть 1 / упражнение / 121

Решебник №4
часть 1 / упражнение / 121

Решебник №5
часть 1 / упражнение / 121


Здесь готовые ответы по Математике за 4 (четвертый) класс от Моро, Бантова, Бельтюкова, Волкова, Степанова Учебник Школа России (издательство: Просвещение от 2015 г.) № 121