Решебник №1
часть 2 / страница 95 / 7

Решебник №2
часть 2 / страница 95 / 7

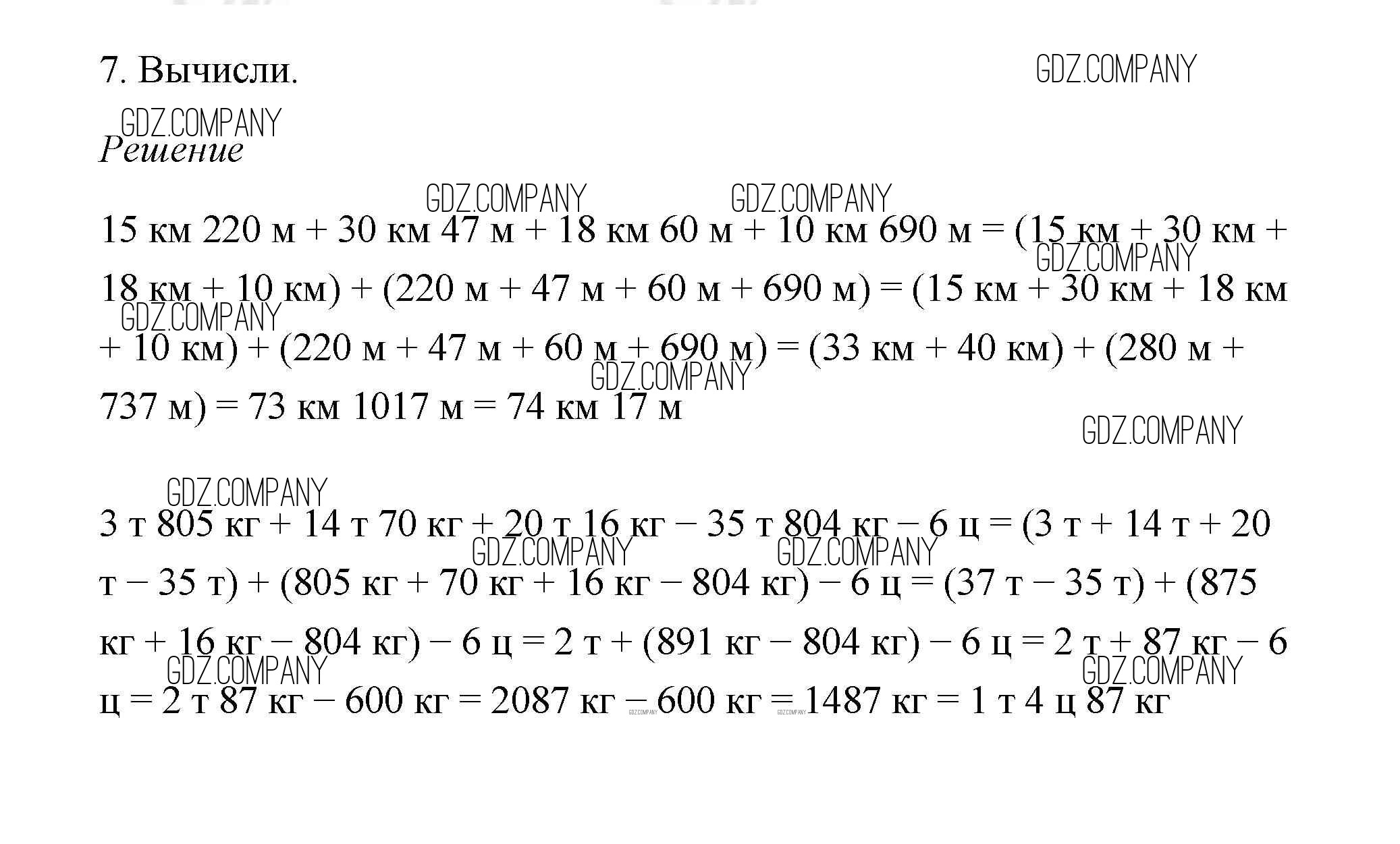
Здесь готовые ответы по Математике за 4 (четвертый) класс от Дорофеев, Миракова, Бука Учебник Перспектива (издательство: Просвещение от 2015 г.) № 7