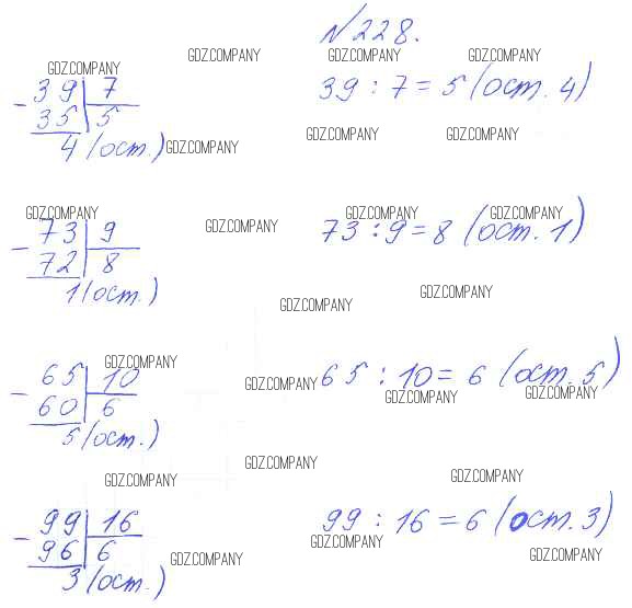
Решебник №1
часть 1 / 228

Решебник №2
часть 1 / 228

Решебник №3
часть 1 / 228

Решебник №4
часть 1 / 228

Здесь готовые ответы по Математике за 4 (четвертый) класс от Чекин Учебник Перспективная начальная школа (издательство: Академкнига от 2012 г.) № 228