Решебник 1
часть 2. страница / 25
Решебник 2
часть 2. страница / 25
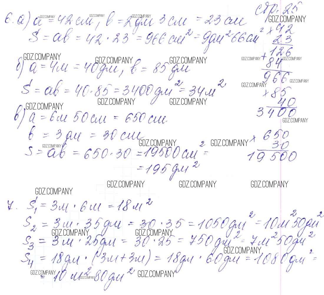
Здесь готовые ответы по Математике за 4 (четвертый) класс от Башмаков, Нефедова Рабочая тетрадь Планета знаний (издательство: Аст/Астрель от 2016 г.) № 25