Решебник 1
часть 2 / умножение в случаях вида 50•9 и 200•4 / 16

Решебник 2
часть 2 / умножение в случаях вида 50•9 и 200•4 / 16

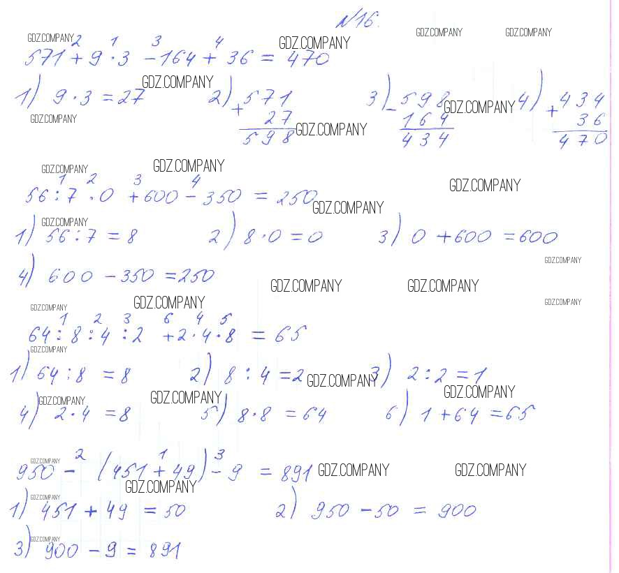
Здесь готовые ответы по Математике за 3 (третий) класс от Рудницкая, Юдачева Учебник Начальная школа XXI века (издательство: Вентана-граф от 2016 г.) № 16