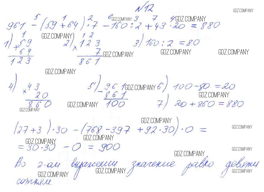
Решебник 1
часть 2 / умножение в случаях вида 23•40 / 12

Решебник 2
часть 2 / умножение в случаях вида 23•40 / 12

Здесь готовые ответы по Математике за 3 (третий) класс от Рудницкая, Юдачева Учебник Начальная школа XXI века (издательство: Вентана-граф от 2016 г.) № 12