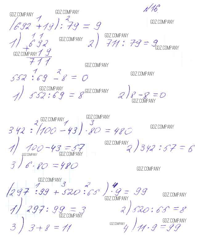
Решебник 1
часть 2 / деление с остатком / 16

Решебник 2
часть 2 / деление с остатком / 16

Здесь готовые ответы по Математике за 3 (третий) класс от Рудницкая, Юдачева Учебник Начальная школа XXI века (издательство: Вентана-граф от 2016 г.) № 16