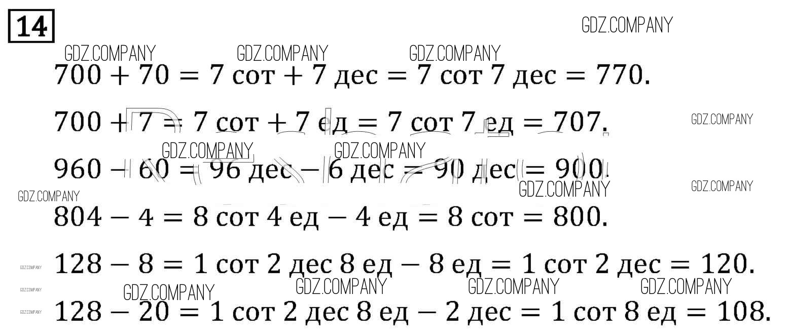
Решебник 1
часть 1 / сравнение чисел / 14

Решебник 2
часть 1 / сравнение чисел / 14

Здесь готовые ответы по Математике за 3 (третий) класс от Рудницкая, Юдачева Учебник Начальная школа XXI века (издательство: Вентана-граф от 2016 г.) № 14