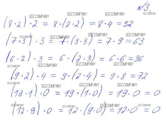
Решебник 1
часть 1 / сочетательное свойство умножения / 3

Решебник 2
часть 1 / сочетательное свойство умножения / 3

Здесь готовые ответы по Математике за 3 (третий) класс от Рудницкая, Юдачева Учебник Начальная школа XXI века (издательство: Вентана-граф от 2016 г.) № 3